链币财富网
  • 首页
  • 币圈快讯
  • 区块链知识
  • 加密科普
  • 币圈百科
  • 行情报道
  • 行情快讯
您现在的位置:首页行情报道

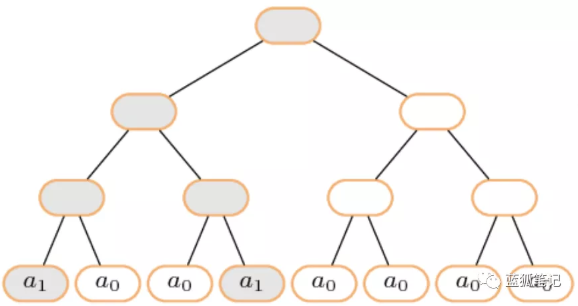
什么是Plasma?Plasma Cash?

前言:我们知道Plasma是以太坊扩容方案之一,那么,到底什么是Plasma?什么是Plasma Cash?本文给我们一些简要的说明。 Plasma是一种设计模式,它允许链外消息驱动链上资产的转移。它通过将交易吞吐量转移到Plasma链来实现对根链的扩展。你可以把它看作是一个教授需要在短时间内批改许...
行情报道 2025-05-29
27次浏览

读懂 IRISnet 链上治理 : 跨链服务网络的「自进化」之路

7 月 2 日,IRIS Hub 发起首个链上参数修改的治理提案 - 关于适当增加验证人运营节点难度的提案,在为期 1 天的抵押阶段内满足 2000 IRIS 的抵押条件后开启投票,随后在为期 5 天的投票阶段后以 69 票赞成和 2 票反对的结果顺利通过了首次治理提案。 本次提案是在由 IRISn...
行情报道 2025-05-29
31次浏览

加密世界黑帮,了解一下

「我在街头学到的东西,比在任何一间教室里的都多。」 在硅谷创投圈里,「PayPal 黑帮」是一个绕不开的话题。这个名词最早出现在美国《财富》杂志的一篇文章里,其中提到自 2002 年 PayPal 被 eBay 收购之后,虽然 PayPal 大部分早期重要员工都选择了离职或自己创业,但彼此之间仍然保...
行情报道 2025-05-29
23次浏览

观点 | 加密货币能否成为破除金融包容性障碍的解决之道?

作者简介:迈克尔•J•凯西(Michael J. Casey)是CoinDesk咨询委员会主席,也是麻省理工学院(MIT)数字货币计划(Digital Currency Initiative)区块链研究的高级顾问。 在上周的专栏文章中,我提到了加密货币项目的金融包容性目标所面临的一个核心问题:既兼顾...
行情报道 2025-05-29
23次浏览

本传言是USDT的“末日审判”,结果听证会影响微乎其微?

USDT对稳定币的普及和发展功不可没,但是负面消息一直不断。 2019年4月25日,纽约州总检察长办公室(NYAG)将USDT的发行方Tether及其母公司iFinex Inc以及Bitfinex告上法庭。控告两者涉嫌多项重大违规,并进一步推测Tether涉嫌挪用9亿美元的USDT准备金帮Bitfi...
行情报道 2025-05-29
25次浏览

EdenChain:可编程经济的全球平台

EdenChain是一个面向企业的区块链平台,旨在通过智能合约使用基于区块链的代币替换现有资产。可编程经济是一种允许任何有形和无形资产资本化的新体系。EdenChain团队认为,可编程经济的应用将降低交易成本,增加共享收益,并为国内外交易创造新的市场。 EdenChain平台为用户提供技术支持,在不...
行情报道 2025-05-29
41次浏览

稳定币能否成为美债的“救星”?

作者:GMF Research;来源:坦途宏观 编者按:2025年5月21日,美国参议院以69:31通过了GENIUS稳定币法案的程序性动议,标志着美国历史上首个针对稳定币的全面联邦监管法案迈出了关键一步。与此同时,美债市场正面临需求疲软和长端利率持续上升的压力。部分债券投资者对稳定币法案寄予厚望,...
行情报道 2025-05-29
20次浏览

从USDT到《天才法案》:稳定币十年变革与金融霸权新争夺

作者:Wenser,Odaily 星球日报 随着比特币(BTC)价格逼近112,000美元的新高,美国稳定币监管法案《天才法案》也逐渐进入实施阶段。加密行业与全球经济体系的深度融合,使得支付体系成为加密行业的核心竞争力,而BTC则被视为这一领域的明珠。与此同时,PayFi、U卡、RWA等细分领域正成...
行情报道 2025-05-29
23次浏览

James Wynn:从传奇交易员到高风险赌徒的24小时

原创 | Odaily星球日报(@OdailyChina) 作者|Azuma(@azuma_eth) 曾经被誉为“版本之子”、“疯狂巨鲸”的知名交易员 James Wynn 的操作再次引发市场热议。 在昨日发布的《谁是 James Wynn:小镇走出的交易天才,豪赌 10 亿的疯狂巨鲸》一文中,我们...
行情报道 2025-05-29
22次浏览

HYPE价格屡创新高 Hyperliquid生态全景速览

作者:David C,Bankless分析师;翻译:金色财经xiaozou 最近的Hyperliquid已然成为无法忽视的存在。 HYPE从历史低点反弹近4倍,成为过去一个月前100名代币中表现最佳的资产——涨幅超110%。生态数据更令人瞩目:Hyperliquid现已占据DeFi永续合约70%的交...
行情报道 2025-05-29
30次浏览
  • 首页
  • 上一页
  • 218
  • 219
  • 220
  • 221
  • 222
  • 223
  • 224
  • 225
  • 226
  • 227
  • 下一页
  • 末页
  • 共 266 页
点击查看更多

最近发表

  • 01 如何判断一个币是否为主流币?主流币的区分方法与标准
  • 02 LON币发行价多少?LON币发行价格及投资价值分析
  • 03 稳定币是什么?稳定币的投资价值解析
  • 04 XCH币发行总量多少?奇亚币XCH的发行量与市场供应分析
  • 05 区块链IDO是什么意思?一文了解区块链的IDO概念
  • 06 哪个交易所合约交易体验最好?合约交易平台推荐

网站分类

  • 行情快讯
  • 新闻资讯
  • 最新动态
  • 行业热点
  • 币圈快讯
  • 区块链知识
  • 加密科普
  • 币圈百科
  • 行情报道

热评文章

  • 如何判断一个币是否为主流币?主流币的区分方法与标准
    1如何判断一个币是否为主流币?主流币的区分方法与标准
    阅读:5
  • LON币发行价多少?LON币发行价格及投资价值分析
    2LON币发行价多少?LON币发行价格及投资价值分析
    阅读:5
  • 稳定币是什么?稳定币的投资价值解析
    3稳定币是什么?稳定币的投资价值解析
    阅读:5
  • XCH币发行总量多少?奇亚币XCH的发行量与市场供应分析
    4XCH币发行总量多少?奇亚币XCH的发行量与市场供应分析
    阅读:6
  • 区块链IDO是什么意思?一文了解区块链的IDO概念
    5区块链IDO是什么意思?一文了解区块链的IDO概念
    阅读:5
  • 哪个交易所合约交易体验最好?合约交易平台推荐
    6哪个交易所合约交易体验最好?合约交易平台推荐
    阅读:5
  • MONI币的发行价是多少?MONI币的发行价格和时间解析
    7MONI币的发行价是多少?MONI币的发行价格和时间解析
    阅读:7
  • 纳诺币怎么买?NANO币购买与交易教程详解
    8纳诺币怎么买?NANO币购买与交易教程详解
    阅读:5
  • 在区块链及数字货币割韭菜是什么意思?揭开“割韭菜”的真相
    9在区块链及数字货币割韭菜是什么意思?揭开“割韭菜”的真相
    阅读:6

热门标签

    数字货币区块链加密货币去中心化中心化币圈网比特币交易所钱包代币以太坊挖矿DeFi加密货币市场智能合约价格波动币安区块链技术欧易okex官网欧易okex交易对市场情绪波动性火币数字资产市场波动okex官网okex欧易okex官网下载binance欧意app矿池交易量私钥杠杆交易NFT硬件钱包欧易去中心化交易所稀缺性Coinbase数字货币交易2025USDTICO合约交易冷钱包okx欧易交易所技术分析
  • 链币财富网鲁ICP备2024107282号

Copyright © 2025 | 安全运行天